昌暉儀表以圖文形式介紹九種電動機主電路的配置方案,讓大家簡單了解每一種方案的應用特點,供電工和儀表工參考和借鑒。
本文涉及9個方案,每一個方案對應一張圖。注意到從方案1到方案9,所有電動機回路在斷路器的上方有接插符號,電動機的上方也有接插符號,由此可知這9個方案均是低壓抽屜式開關柜中的電動機主電路。
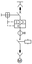
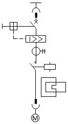
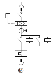
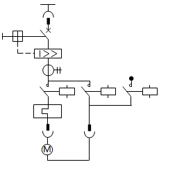
方案1到方案4是電動機直接起動方案,但主電路元件略有不同:
①方案1中,斷路器是帶有熱磁保護的微型斷路器MCB。MCB帶有過載長延時L保護和短路瞬時I保護。主電路中另外兩個元件是電流互感器和交流接觸器。方案1的一般用于小功率的電動機直接起動。

②方案2的主電路中帶有熱繼電器,且斷路器為單磁的,因此方案2可用于較大功率的電動機直接起動。

③方案3的熱繼電器在電流互感器的二次側,因此這個電路可以驅動更大功率的電動機。

注意:熱繼電器的熱感應雙金屬片在電動機起動時用時間繼電器控制旁路接觸器予以短接,使得在電動機起動時熱繼電器不發出保護動作信息。
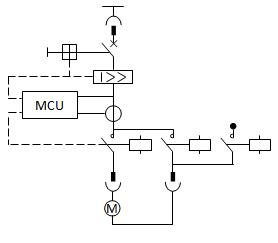
④方案4采用MCU來保護電動機,其中MCU(Motor Control Unit)指的就是電動機綜合保護裝置。

方案5到方案7是電動機的可逆起動方案,但主電路元件略有不同。
⑤方案5與方案1類似,采用帶熱磁的MCB作保護,一般用于小功率的電動機可逆起動。

⑥方案6與方案2類似,回路中配有熱繼電器,而斷路器采用單磁的,因此方案6可用于帶動較大功率的電動機可逆起動。

⑦方案7與方案3類似,熱繼電器在電流互感器的二次側,因此這個電路可以驅動更大功率的電動機。

方案8和方案9為電動機星-三角起動方案。
⑧方案8的斷路器同方案2和方案6,為單磁斷路器;

⑨方案9則為采用MCU的方案。

使用電動機專用的微型斷路器的主電路方案說明
方案1和方案5適用于0.08~11kW的電動機直接起動主電路。其中的MCB為專用于電動機保護的產品規格。表1為采用ABB電動機保護微型斷路器MS25的配置方案表。
表1 MS325使用配置方案

采用熱繼電器的主電路方案說明
由前所述,我們知道了方案2、方案3和方案6中均在一次回路中使用了熱繼電器,其中方案6的熱繼電器安裝在二次回路。熱繼電器在使用時有電動機重載起動的問題。如果電動機起動電流超過6倍額定值,或者起動時間超過10s,則此電動機的起動過程被稱為重載起動。對于重載起動的電動機主電路方案,其中的熱繼電器需要采取專門措施。
國家標準GB 14048.4-2010《低壓開關設備和控制設備 低壓機電式接觸器和電動機起動器》中5.7.3.2節的表2有專門定義,詳見2.6.2節,此處摘錄如下:
級別 脫扣時間/s
10A 2<Tp≤10
10 4<Tp≤10
20 6<Tp≤20
30 9<Tp≤30
列表總級別20和級別30為重載啟動電動機專用的熱繼電器,其過載保護脫扣的動作時間比較長,用以躲過電動機起動電流的沖擊。
我們來看在額定電壓為400V短路電流為50kA下,ABB的電動機輕載和重載直接起動配置方案,見表2

①電動機起動時配合相同規格的旁路接觸器。旁路接觸器的用途是旁路熱繼電器的電流輸入輸出(溫度傳感測量)端口。
從表2中我們看到,3kW及以下的電動機重載起動主電路需要在熱繼電器一次回路并接旁路接觸器,5.5~75kW電動機重載起動主電路需要采用類型30的熱繼電器。對于90kW以上的電動機起動主電路,無論是常規起動或者是重載起動,其熱繼電器均為類型30,故主電路配置方案相同。
采用電動機星三角起動的主電路方案說明
在電動機星-三角起動主電路中,有斷路器、電流互感器、星接接觸器和角接接觸器、主接觸器及熱繼電器等等。
表3是ABB用于18.5~200kW的星-三角起動電動機回路。
表3 在額定電壓為400V短路電流為50kA下的電動機星-三角起動配置方案

表中接觸器與斷路器的配合方式為類型2。
電動機主電路中元器件之間的協調配合
有關電動機主電路斷路器(熔斷器)與接觸器之間的協調配合關系見《接觸器與短路保護低壓電器間的協調配合型式試驗》。以下做簡單回顧:
1、接觸器和熱繼電器之間的配合類型
當三相異步電動機主電路中發生過載或短路故障時,由于接觸器有可能會發生觸點熔焊現象,因此GB 14048.1-2012標準中給出了兩種配合類型:
①配合類型1:允許在過載或短路故障過程中電動機起動器內部的元器件損壞,但更換元器件后能恢復正常運行。
②配合類型2:只允許在過載或短路故障過程中電動機起動器內部的接觸器發生觸點熔焊,用簡單工具修理后能恢復正常運行。
2、電動機控制主電路的基本配置:斷路器+接觸器+熱繼電器
電動機主電路的最基本配置是斷路器+接觸器+熱繼電器的組合,組合的脫扣特性曲線見下圖。
組合的脫扣特性描述如下:
①當電動機剛起動時,從起動剛開始30ms范圍內電動機主電路中將出現起動沖擊電流峰值I,其值大約為(8~12)IN,斷路器的I參數必須大于Ip,否則會造成電動機起動時斷路器誤跳閘。
②電動機的起動電流1s為(4~8.4)In。
③當電動機起動完成后,電動機進入額定運行狀態。熱繼電器的熱過載保護整定值應圖4-21 斷路器+接觸器+熱繼電器組合的脫扣特性當在(1.05~1.20)In之間。熱繼電器的整定值必須確保當過載電流為1.05In時在兩個小時內不跳閘,而當過載電流為1.20In時在兩個小時內一定跳閘。
④當電動機發生短路時,雖然短路電流會受到電纜的限制,但斷路器的I參數必須對此短路電流實施保護動作。I參數的整定電流I3應當不小于Ip,即不小于12In。一般將I參數設置為(12~15)In。最重要的是,熱繼電器的允通電流的極限值必須大于I3,也就是必須使熱繼電器的熱耐受極限電流在斷路器I參數整定值的右側,以確保斷路器能對熱繼電器實施保護。
⑤當電動機發生了過載時,熱繼電器和接觸器將長時間地流過過載電流,最終由熱繼電器發出保護信息驅動接觸器跳閘,接觸器的觸點上將出現電弧;類似地,當電動機發生短路時,斷路器執行了短路保護跳閘,但短路電流同樣也流過了熱繼電器和接觸器。
若熱繼電器和接觸器滿足類型1,則在過載或短路過程中熱繼電器或接觸器可能會損壞,用戶必須在事后給予維護更換;若在過載或短路過程中熱繼電器和接觸器滿足類型2,則熱繼電器或接觸器不一定會損壞,用戶只需簡單地維護好接觸器的觸點即可。
相關閱讀
◆短路時斷路器已動作,為何接觸器還是粘連
◆低壓電動機回路可以選擇什么類型的斷路器
