克勞斯燃燒爐是硫磺回收裝置的核心設備,燃燒爐的進料氣多樣,克勞斯燃燒爐控制方案復雜。如何確保燃燒爐充分、平衡、高效率地燃燒以及操作平穩,不但是硫磺回收裝置的關鍵要素,也是尾氣環保達標排放的源頭所在。

1、工藝介紹
克勞斯爐燃燒爐控制系統通過合理地選擇配風方案,使空氣的體積流量與酸性氣的體積流量維持合理的配比,實現了硫回收率最大化,從而減少了尾氣中硫的排放。
硫磺回收裝置的進料酸性氣分別來自胺再生裝置的胺酸性氣和酸性水汽提裝置的汽提酸氣,通過克勞斯工藝把硫化氫和其他硫化合物轉化為高純硫,克勞斯工藝由熱反應階段、催化反應階段、選擇性氧化反應階段組成,為了獲得盡可能高的回收率,必須將來自最后一個克勞斯反應器的工藝氣體中的Vm(H2S)/Vm(SO2)比值控制在特定值。克勞斯燃燒爐控制方案如圖1所示。

圖1 克勞斯燃燒爐控制方案示意
克勞斯燃燒爐控制可以分為三個部分:
①熱反應階段
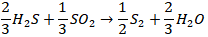
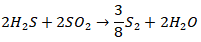
酸性氣與一定量的空氣混合進入主燃燒爐,用燃料氣維持爐膛溫度為1200-1300℃,主要反應式如下:


因為進料氣中含有烴類,在主燃燒爐中烴與氧首先生成二氧化硫,然后二氧化硫與硫化氫反應生成有機硫和二硫化碳,主要反應式如下:

②催化反應階段
燃燒后的高溫過程氣經廢熱鍋爐、硫冷凝器后,依次進入一、二、三級反應器,在催化劑作用下發生克勞斯反應,反應式如下:

③選擇性氧化反應階段
從克勞斯反應器出來的過程氣,與一定量的空氣混合,進入SUPERCLAUS反應器。在選擇性氧化催化劑作用下使過程氣中硫化氫直接氧化成硫,反應式如下:

2、功能描述
2.1 標稱風量需求量
如圖1所示,主燃燒器的進料包括胺酸性氣、汽提酸氣和/或天然氣,天然氣用于開車時燃燒爐的升溫,所有進料的體積流量均進行了溫度壓力補償。
胺酸性氣、汽提酸氣、天然氣與空氣(風量)的比值,由操作員分別在手動操作器HC-067(qV空氣/qV胺酸性氣的比值),HC-057(qV空氣/qV汽提酸氣的比值),HC-086(qV空氣/q V天然氣的實際比值),HC-051(qV空氣/qV天然氣的理想比值)中設定。將各種進料的體積流量乘以比值,即可計算出進料氣體在相應燃燒器(FU-066,FU-056,FU-085)中的單個標稱空氣需求,單個標稱空氣匯總形成主燃燒器控制器所需的標稱總風量需求(FU-053A)。
主燃燒器的標稱主風量需求(FU-049)是由標稱總風量需求減去所需的微風量需求(HC-048)確定的??諝庳摵煞峙淦?XC-047)進一步對主燃燒器的標稱主風量需求進行補償,作為主燃燒器主風量實際需求(FU-050)的設定值。主燃燒器的主風量由主風流量控制器(FC-042A)控制;主風和微風的體積流量都進行了溫度壓力補償。
2.2 實際風量需求
由于進料氣與空氣的比值在實際操作中可能存在差異,離開最后一個硫冷凝器的尾氣成分可能偏離期望值,通過尾氣質量控制器(AC-069)可以調整尾氣中的實際和理想Vm(H2S)/Vm(SO2))比值間的差異。微調風量實際需求(FU-052)作為微風流量控制器(FC-043B)的設定值,尾氣質量控制器改變其輸出來調整微調風量需求,達到調整尾氣成分中Vm(H2S)/Vm(SO2)比值的目的。當裝置運行平穩時,尾氣中實際的Vm(H2S)/Vm(SO2)比值與期望值應匹配。
2.3 空氣負荷分配器
裝置正常運行時,燃燒爐所需的qV微風的實際值應設置為微風流量控制器滿量程的50%。原因如下:如果qV空氣/qV進料氣的實際比值在相對長的時間內與理論比值不同,將導致微風在量程的上限或下限運行,由于微風流量控制器的有限校正動作(積分飽和),微調控制閥可能會全開或全關。如果出現該情況,空氣過量(閥門完全打開)或空氣欠量(閥門完全關閉)均會導致裝置的硫回收率降低,使下游的尾氣處理裝置過載。
尾氣質量控制器在高負載時比在低負載時能更快地檢測到輸出的變化,其整定參數的選擇取決于工廠負載(進料胺酸性氣和汽提酸氣的總體積流量),工藝進料氣體在硫化回收裝置中的停留時間在高負載時比低負載時要短,這意味著尾氣質量控制器的死區時間在高負載時比低負載時要短。通過自動調整尾氣質量控制器的增益可以優化控制器的輸出,在相對較高的工廠負載下,控制器的增益必須設置成相對較高的值。由于停留時間與工廠負載之間的關系是線性的,尾氣質量控制器的增益乘以相對的工廠負載,在整個操作區間內就可以實現穩定控制,尾氣質量控制器的比例作用非常小。
3、動態響應
以下結合控制系統對負荷變化、組分變化、負荷和組分同時變化的響應,介紹克勞斯燃燒器控制方案。
3.1 負荷變化
空氣分別與胺酸性氣、汽提酸氣、天然氣的體積分數比值是基于對應氣體計算得出的。如果qV空氣/qV進料氣的比值正確,隨著負載的波動,控制系統的前饋部分將起主導作用。最初,所有控制器都處于設定點,隨著圖1所示胺酸性氣體積流量的增加,控制系統將響應如下:
①根據新增加的胺酸性氣體積流量重新計算標稱總風量需求。
②新的標稱總風量需求與原標稱總風量需求的比值被轉換為相對工廠負荷,通過增加尾氣質量控制器的增益,可以補償死區時間的減少。
③尾氣質量控制器的增益增加,由于該控制器處于設定點,其輸出保持不變。
④從新的標稱總風量需求中減去微風量需求,從而產生主風流量控制器新的設定點。空氣負荷分配控制器不需要調整,因為該控制器仍處于設定點。
⑤主風流量控制器接收更高的設定值并打開控制閥,直到主風體積流量等于新的設定值。
⑥由于qV空氣/qV胺酸性氣的比值是正確的,因此尾氣質量控制器不需要動作。
⑦當微風量保持在期望值時,空氣負載分配控制器不需要動作。
3.2 組分變化
在胺酸性氣、汽提酸氣、天然氣的組分出現波動的情況下,克勞斯燃燒器控制器的反饋部分和空氣負荷分配器會響應。最初所有控制器都處于設定點,假設胺酸性氣中的Vm(H2S))增加,由于組分變化,qV空氣/qV胺酸性氣的比值將不正確,導致前饋部分供應的空氣不足,從而尾氣中Vm(H2S)/Vm(SO2)比值過高,尾氣質量控制器檢測到異常,響應如下:
①通過增加尾氣質量控制器的輸出,微風流量控制器獲得更高的設定點。
②微風流量控制器增加其輸出,直到微風量達到新的設定點。
③因為微風量偏離了期望值,空氣負載分配控制器逐漸減小其輸出量,通過減少微風量并增加相同量到主風量控制器中。
④微風量逐漸返回到正常值,即滿量程的50%時,同時主風流量控制器達到新的設定點。
3.3 負荷和組分同時變化
在負載波動和成分變化同時存在的情況下,前饋部分、反饋部分、空氣負載分配控制都將采取行動。最初所有控制器都處于設定點,隨著qV胺酸性氣的增加以及胺酸性氣中的Vm(H2S)的增加,克勞斯燃燒器控制系統將響應如下:
①根據新增加的胺酸性氣體積流量重新計算標稱總風量需求。
②新的標稱總風量需求與原標稱總風量需求的比值被轉換為相對工廠負荷,增加了尾氣質量控制器的增益,從而補償死區時間的減少。
③最初尾氣質量控制器處于設定點,即使它的增益增加,但其輸出仍保持不變。
④從新的標稱總風量需求中減去微風量需求,從而產生主風流量控制器的新設定點。由于該控制器仍處于設定點,因此無需通過空氣負載分配控制器進行調整。
⑤主風流量控制器接收更高的設定值并打開控制閥,直到主風體積流量達到新的設定值。
⑥由于組分發生變化,qV空氣/qV胺酸性氣的比值不正確,因此前饋提供了錯誤的qV空氣值,導致尾氣中的Vm(H2S)/Vm(SO2)比值過高。在死區時間結束后,尾氣質量控制器會發現尾氣中Vm(H2S)/Vm(SO2)比值的變化。
⑦尾氣質量控制器開始增加輸出,直到測量的Vm(H2S)/Vm(SO2)比值再次等于設定點,由于負荷增加而增加的增益,將導致微風控制器的設定點更高。
⑧微風流量控制器增加輸出,直到微風量達到新的設定點。
⑨當微風量偏離期望值時,空氣負載分配控制器逐漸減小其輸出,并增加相同的風量到主風流量控制器。
⑩逐漸將微風量返回到微風流量控制器量程的50%,同時主風流量控制器達到了新的設定點。
4、結束語
克勞斯燃燒爐燃燒控制對硫回收的影響很大,它不僅涉及硫回收率,也涉及環保工程。理解燃燒的機理,并施以行之有效的控制,對控制燃燒具有重要意義。
通過前饋、反饋及串級等控制原理,克勞斯燃燒爐燃燒控制控制方案滿足了不同工況下參與燃燒反應的胺酸性氣、汽提酸氣以及燃料氣的合理配風,整套克勞斯燃燒爐燃燒控制系統對進料的各種變化響應迅速、自動運行,減少了操作人員的干預,產品回收率和尾氣排放均達到了設計要求,投用后效果良好。
該克勞斯燃燒爐燃燒控制系統還可以做進一步改進,通過在胺酸性氣和汽提酸氣進料管線上加裝H2S分析儀,可以對進料的成分做出檢測,控制器可以提前反應,減少尾氣分析儀的延時,有助于提高硫的回收率。
作者:王永波、陳錦玉、李興侯
