
該表中銅排載流量是基于環境溫度25℃,最高允許運行溫度70℃來定義銅排載流量,比如表面處理為涂漆單根TMY100×10載流量為2265A(豎直安裝)。
但實際上,考慮到元器件和母排本身的發熱,再加上低壓柜密閉的IP防護等級,低壓柜內的溫度會遠遠高于25℃,假如柜內溫度到40℃,此時如果銅排的最高允許運行溫度仍然是70℃,那么單根100×10的銅排載流量還會是2265A嗎?
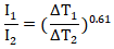
低壓柜的設計制造標準GB/T7251.1-2023版本給出了不同溫度下柜內導體載流量的換算公式,公式本身出自于《Copper Development Association;Publication No.22:1996》。
前提條件是導體的最高允許允許溫度確定、某溫度下導體的載流量確定,公式適用于銅排和鋁排的載流量換算,ΔT代表最高允許允許溫度與環境溫度的差值,即溫升。
溫升與導體載流量之間的關系見昌暉儀表網的文章:①怎樣通過理論計算銅排載流量 ;②銅排載流量計算所依據的標準及系數
所以配四中單根100×10銅排,在環溫40℃下的載流量為1947.8A:

45K代表環溫25℃時與最高允許運行溫度70℃的溫度差,即銅排的溫升值45K,同理30K代表的是環溫40℃時與最高允許運行溫度70℃的溫度差,2265A是單根100×10銅排在環溫25℃時的載流量。
