調節器的PID自整定過程
若測出了系統的一階模型,或得出了系統的臨界比例增益Kc和振蕩周期Tc,則可很容易地設計出PID調節器。繼電型自整定的基本想法是,在控制系統中設置兩種模態:測試模態和調節模態。在測試模態下,調節器自動轉換成位式調節,即當測量值小于設定值時,調節器輸出為滿量程,反之為零,使系統產生振蕩,振蕩過程中調節器自動提取被控對象的特征參數;而在調節模態卞由系統的特征參數首先得出PID控制器,然后,由此控制器對系統進行調節。繼電型PID自主定控制結構如圖1所示。當需要PID參數整定時,開關置于調整處,系統按繼電反饋建立起穩定的極限環振蕩后,就可以根據系系統響應特征確定PID參數。自整定計算完成后開關置于調節處,系統進入正常控制。

圖1 繼電PID自整定控制結構示意圖
PID參數自整定的原理
測試模態下,系統的等效框圖如圖2所示。確定系統的振蕩頻率ωc與增益Kc有多種方法,比較常用的是描述函數法,此方法實際上是根據非線性環節輸入信號與輸出信號之間基波分量關系來進行近似的一種有效方法。

圖2 繼電反饋系統結構圖
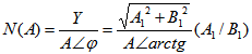
①非線性特征的描述函數N(A)是指:當輸入時正弦信號Asin(ωt)時,輸出的基波分量Ysin(ωt+φ)對輸入正弦量的復數比,即:
其中A1、B1是輸出Y(t)的傅立葉級數的一次項系數。實際的帶有回環的節點非線性環節特性的描述函數可以表示為:
公式中A為正弦波幅值,d為回環幅值,ε為回環寬度的一半。②由極限環振蕩確定被控對象特征參數
設被控對象的傳遞函數為如下形式:

其中K為對象的增益,T為對象的時間常數,τ為對象的滯后時間。
考慮由具有傳遞函數G(s)的對象和具有繼電特性的反饋部分組成的簡單反饋系統如圖2所示。這時系統的閉環特征方程發生振蕩的條件可以寫成:1+N(A)G(s)=0 (s=jωc),即G(jωc)=-1/N(A)。 設該等式的實部和虛部均為零,則可得出振蕩頻率Wc的增益Kc,在這里只考慮一種簡單的情況,假設繼電特征非線性環節不帶有回環,即若設ε=0,則描述函數可以化簡成N(A)=4d/πAc,臨界振蕩周期Tc=2π/ωc可通過直接測量輸出相鄰峰值的時間確定。
③PID參數整定算法
在得到對象的臨界增益和臨界振蕩周期后,就可以根據Ziegle-Nichols算法確定PID參數。這樣,用繼電反饋的方法整定出了PID調節器參數。如表所示:
調節器規律 Kp Ti Td
P 0.5Kc —— ——
PI 0.45Kc 0.8Tc ——
PID 0.6Kc 0.5Tc 0.12Tc
PID參數繼電自整定法是一種簡單的自適應控制方法,它所需要的數據量小,實現簡單,調節效果好,特別適用于內存量較小的調節器,因而得到廣泛的應用。在設計中合理使用自整定功能,對提高PID調節器的科技含量具有重要意義。
作者:吉林工學院 呂秀江、辛長宇,長春試驗機研究所 張泳
