充滿管道的介質,當它們流經管道內的孔板或噴嘴時,流速將在節流裝置的節流處形成局部收縮,從而使流速增加,靜壓力降低,于是在節流裝置前后便產生了壓差壓,介質流動的流量越大,在節流裝置前后產生的壓差也越大,所以可通過測量壓差來衡量流體流量的大小。這種方法測量時以能量守恒定律和流動連續性定律為基準的。
標準孔板是用不銹鋼或其他金屬材料制造的薄板,具有圓形開孔并與管道同心,其直角入口邊緣非常銳利,且相對于開孔軸線是旋轉對稱的,順流的出口呈擴散的錐形,如下圖所示。對標準孔板的特征尺寸要求為:節流孔徑d不小于12.5mm,直徑比 d/D應在0.2-0.75之間,D為管道直徑,直孔厚度h應在0.005D-0.02D之間,孔板的總厚度H應在h-0.05D之間,圓錐面的斜角α應在30°-45°之間。
標準孔板結構簡單,加工方便,價格低廉。單對流體造成的壓力損失較大,測量精度較低,而且一般只使用于潔凈流體介質的測量。在測量大管徑高溫高壓介質時,孔板容易變形。


標準孔板示意圖
標準孔板分類
1、角接取壓標準孔板,型號LGHK
2、法蘭取壓標準孔板,型號LGFK
3、徑距取壓標準孔板,型號LGJK
4、徑距取壓環室孔板,型號LGJH
5、角接取壓圓缺孔板,型號LGHQ
6、角接取壓標準噴嘴,型號LGHP
7、徑距取壓長徑噴嘴,型號LGJP
8、經典文丘里管,型號LGWG
9、機翼測風裝置,型號LGJYF
10、雙文氏里管,型號LGSW
11、V錐流量計,型號LGKV
12、楔形流量計,型號LGQX
13、插入式多喉徑流量計,型號LGDH
標準孔板和標準噴嘴是最常用節流裝置之一,孔板和噴嘴應用舉例:鍋爐給水流量測量通常選用角接取壓標準孔板(型號LGHK),鍋爐給水流量測量系統由孔板、差壓變送器和智能流量積算儀構成;鍋爐過熱蒸汽流量測量通常選用角接取壓標準噴嘴(型號LGHP),鍋爐過熱蒸汽流量測量系統由標準噴嘴、差壓變送器、壓力變送器、熱電偶和蒸汽冷凝罐組成。
標準孔板(噴嘴)安裝要求
1、對于新設管路系統,必須先經掃線(指管道吹掃)后再安裝標準孔板或噴嘴,防止管道內雜質堵塞或損傷節流裝置。
2、安裝前應仔細核對標準孔板或噴嘴的編號、位號、規格是否與管道條件、流量范圍等參數相符。在孔板或噴嘴取壓口附近有“+”的一端應與介質上游管道聯接,標有“-”的一段應與介質下游管道聯接,節流裝置的中心線應與管道中心線同軸。
3、標準孔板或噴嘴取壓口在管道中的安裝位置:
①測量介質為氣體時應防止水或污物進入導壓管,標準孔板和噴嘴在水平或傾斜管道中安裝時,取壓口位置應該在水平線上方且與水平線夾角A應該大于45度,如圖所示:

②測量介質為液體時應防止氣體進入導壓管,標準孔板(標準噴嘴)在水平或傾斜管道中安裝時,取壓口位置應該在水平線下方且與水平線夾角A應該小于45度,如圖所示:


④標準孔板和噴嘴在垂直主管道中安裝時,取壓口的位置在取壓裝置的平面上,可任意選擇。
孔板、差壓變送器、三閥組和截止閥構成最基本的差壓式流量計,如果差壓式流量計測量蒸汽等高溫介質,還需要配置冷凝管。差壓式流量計差壓變送器的量程是由孔板生產廠家提供的,孔板訂貨時用戶需要提供的參數在本站《孔板計算書》中有詳細介紹,訂貨前您可先去看看買孔板需要哪些技術條件!
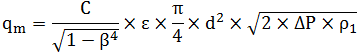
1、使用標準孔板時,質量流量的基本計算公式為:

公式中qm為質量流量(單位:m3/s),C為流出系數,β為直徑比(β=d/D,d為工作條件下一次裝置節流孔或喉部的直徑,D為工作條件下上游管道內徑或經典文丘里管上游直徑,d和D的單位為m),ε為可膨脹系數,ρ1為工作狀態下標準孔板上游側的介質密度(單位:kg/m3),d為工作狀態下孔板直徑(單位:m);△P為標準孔板上下游壓差(單位:Pa)
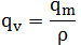
2、使用標準孔板時,體積流量的基本計算公式為:
公式中qv為體積流量(單位:kg/s),qm為質量流量(單位:m3/s),ρ為測定體積流量時的溫度和壓力下的流體密度(單位:kg/m3)
